좋아요 0
중등

점과 직선사이의 거리 | 중1 수학 | 홈런중등

 안녕하세요. 아이스크림 홈런입니다.
오늘은 중1 수학에서 나오는 점과 직선 사이의 거리에 대해 이해하고 공식을 알아보는 시간을 보내 보도록 하겠습니다.

1. 점과 직선 사이의 거리

점과 직선 사이의 거리란 한 점에서 직선까지 수직으로 만나는 최단거리를 의미합니다.


 


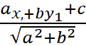
2. 점과 직선 사이의 거리 공식 

직선      사이의 거리

d =  (a≠0 ,b≠0)

 
 

3. 문제 : 점 A(2,3)과 직선 3x+4y-3=0 사이의 거리를 구하시오.


답 : 3

풀이 : 공식 대입

  =   =  =  = 3
  
목록보기